taptap188平台入口
学校官网
设为首页
|
加为收藏
站内搜索:
首页
点点概况
学院简介
历史沿革
组织机构
现任领导
学院动态
学院风采
党群工作
理论专栏
专题教育
支部工作
党员发展
工会活动
师资队伍
教师结构
教学名师
教师风采
近年引进的高层次人才
研究生教育
工作动态
学科介绍
培养工作
学位工作
博士生导师
硕士生导师
本科生教育
工作动态
专业介绍
教学成果
实验中心
学科与科研
工作动态
学科设置
学术活动
科研平台
项目成果
taptap188
工作动态
团学工作
招生就业
政策解读
课程育人
科研育人
实践育人
文化育人
网络育人
心理育人
管理育人
服务育人
资助育人
组织育人
合作交流
国际合作与交流
校企合作
校友之窗
校友工作
校友风采
资源服务
图书资料
校院制度
院务公开
下载专区
研究生教育
Graduate study
工作动态
学科介绍
培养工作
学位工作
博士生导师
硕士生导师
工作动态
当前位置:
首页
>
研究生教育
>
工作动态
> 正文
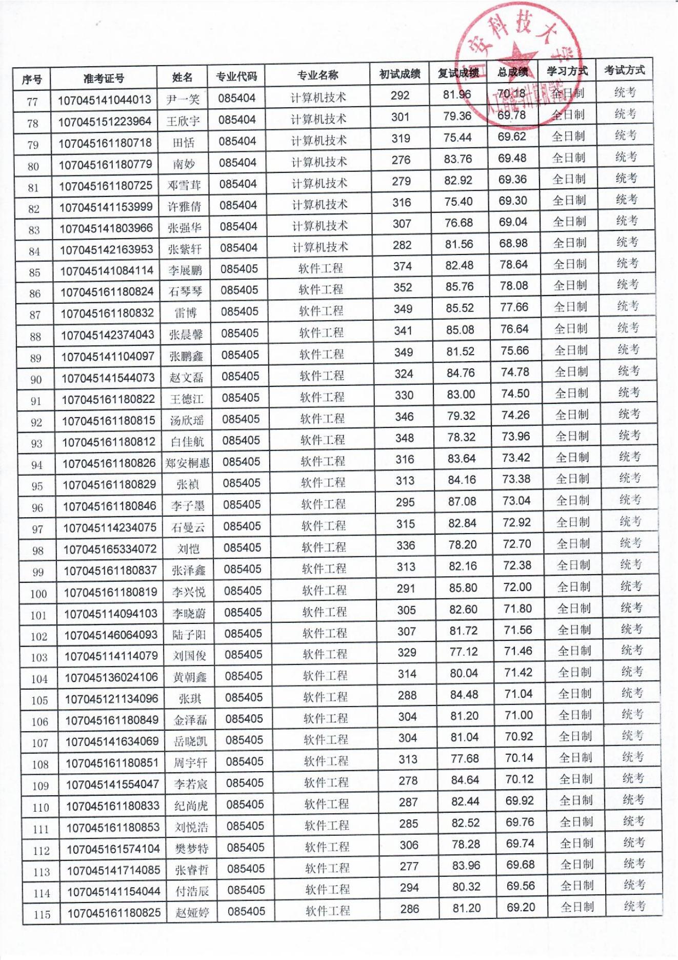
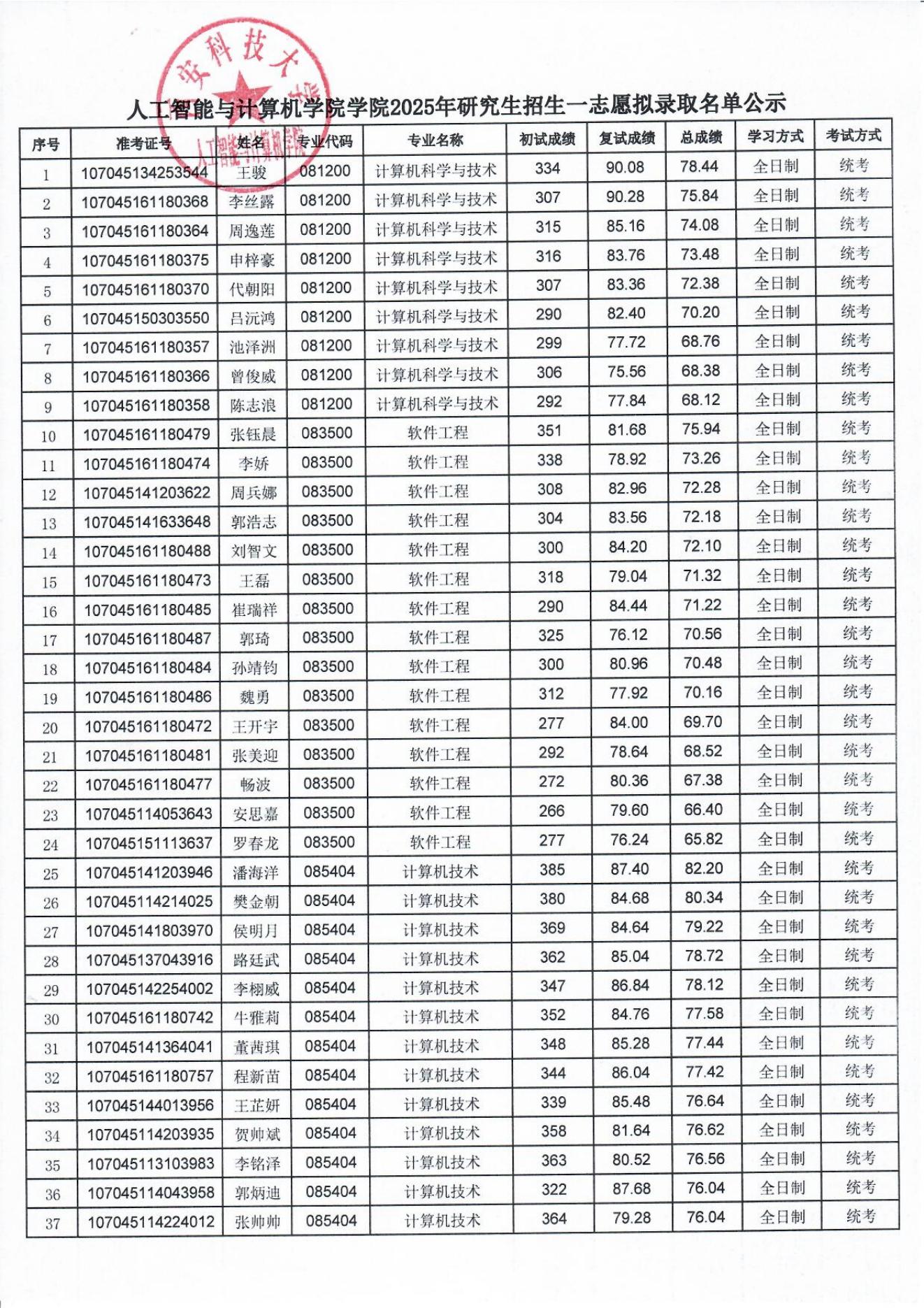
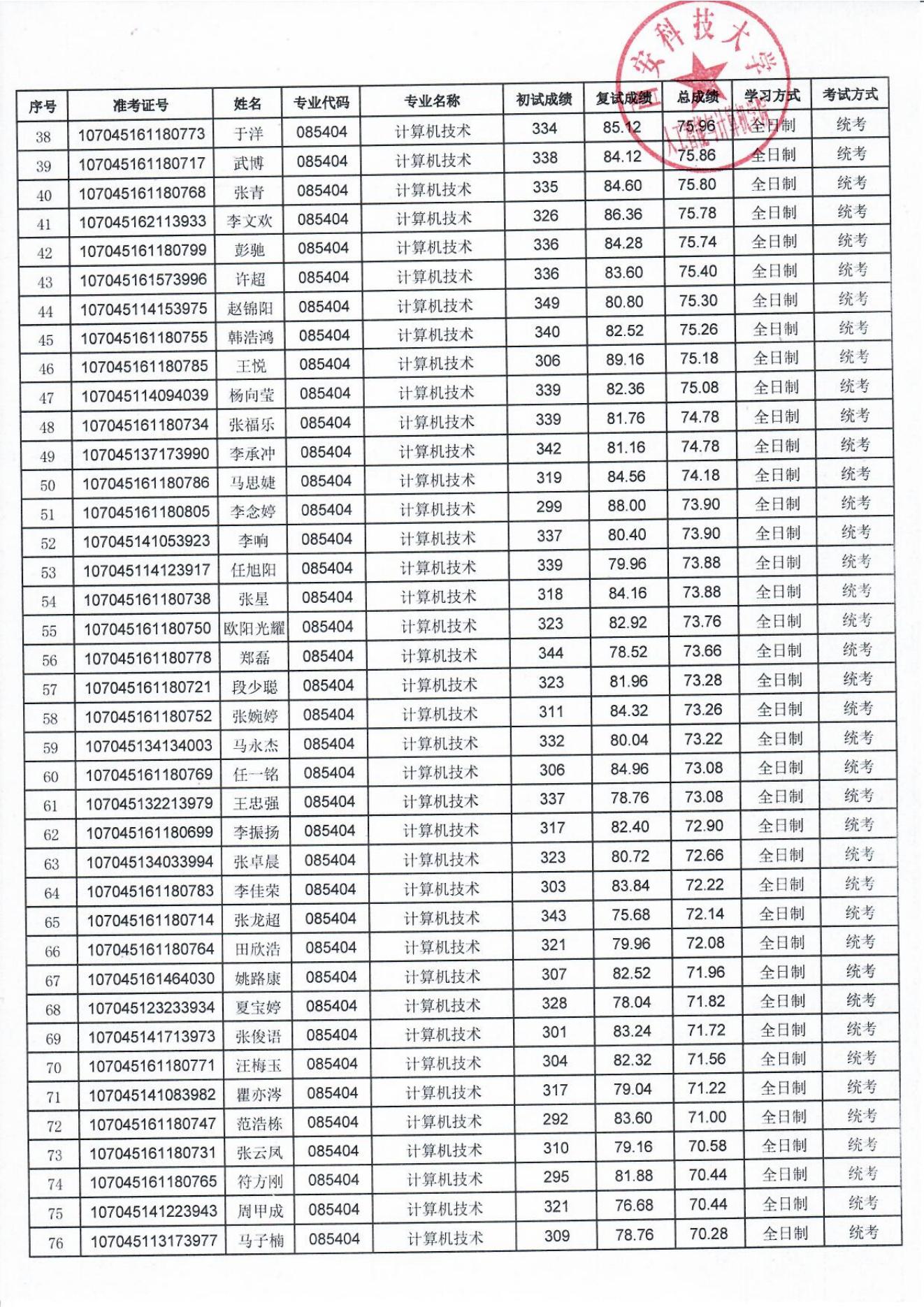
taptap188平台2025年研究生招生一志愿拟录取名单公示
发布日期:2025-03-31 浏览数:
上一篇:人工智能与计算机学院2025年硕士研究生接收调剂公告
下一篇:taptap188平台2025年硕士研究生招生复试工作方案
友情链接: